963 2 months ago

Hunyuan Translation Model Version 1.5 includes a 1.8B translation model, HY-MT1.5-1.8B, and a 7B translation model, HY-MT1.5-7B. Both models focus on supporting mutual translation across 33 languages and incorporating 5 ethnic and dialect variations.

1.8b 7b
ollama run MedAIBase/Tencent-HY-MT1.5:1.8b

Models

View all →

Readme

0.png

🤗 Hugging Face  |   🕹️ Demo     🤖 ModelScope  |  

🖥️ Official Website  |   Github

Model Introduction

Hunyuan Translation Model Version 1.5 includes a 1.8B translation model, HY-MT1.5-1.8B, and a 7B translation model, HY-MT1.5-7B. Both models focus on supporting mutual translation across 33 languages and incorporating 5 ethnic and dialect variations. Among them, HY-MT1.5-7B is an upgraded version of our WMT25 championship model, optimized for explanatory translation and mixed-language scenarios, with newly added support for terminology intervention, contextual translation, and formatted translation. Despite having less than one-third the parameters of HY-MT1.5-7B, HY-MT1.5-1.8B delivers translation performance comparable to its larger counterpart, achieving both high speed and high quality. After quantization, the 1.8B model can be deployed on edge devices and support real-time translation scenarios, making it widely applicable.

Key Features and Advantages

  • HY-MT1.5-1.8B achieves the industry-leading performance among models of the same size, surpassing most commercial translation APIs.
  • HY-MT1.5-1.8B supports deployment on edge devices and real-time translation scenarios, offering broad applicability.
  • HY-MT1.5-7B, compared to its September open-source version, has been optimized for annotated and mixed-language scenarios.
  • Both models support terminology intervention, contextual translation, and formatted translation.

Related News

  • 2025.12.30, we have open-sourced HY-MT1.5-1.8B and HY-MT1.5-7B on Hugging Face.
  • 2025.9.1, we have open-sourced Hunyuan-MT-7B , Hunyuan-MT-Chimera-7B on Hugging Face.

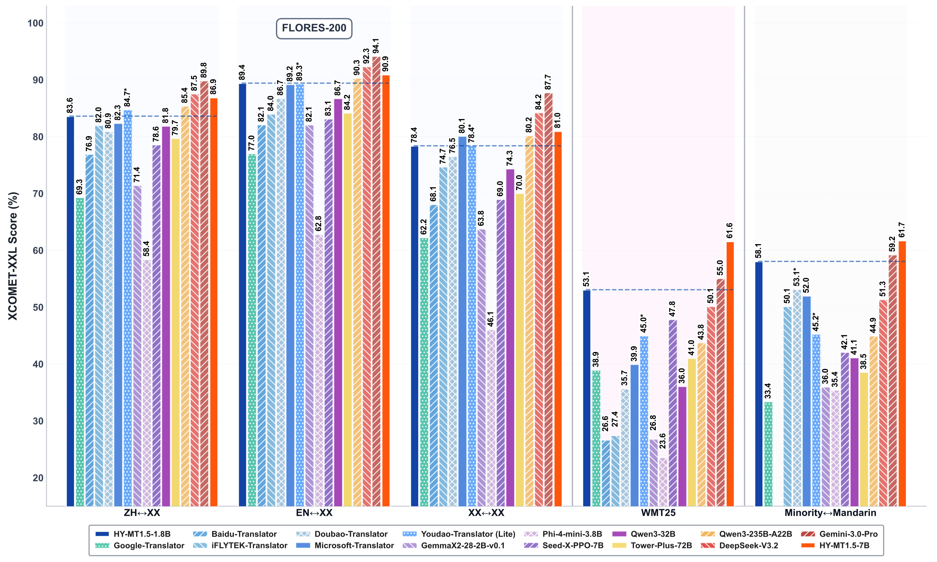
Performance

1.png

You can refer to our technical report for more experimental results and analysis.

Technical Report

Model Links

Model Name Description Download
HY-MT1.5-1.8B Hunyuan 1.8B translation model 🤗 Model
HY-MT1.5-1.8B-FP8 Hunyuan 1.8B translation model, fp8 quant 🤗 Model
HY-MT1.5-1.8B-GPTQ-Int4 Hunyuan 1.8B translation model, int4 quant 🤗 Model
HY-MT1.5-7B Hunyuan 7B translation model 🤗 Model
HY-MT1.5-7B-FP8 Hunyuan 7B translation model, fp8 quant 🤗 Model
HY-MT1.5-7B-GPTQ-Int4 Hunyuan 7B translation model, int4 quant 🤗 Model

Prompts

Prompt Template for ZH<=>XX Translation.


将以下文本翻译为{target_language},注意只需要输出翻译后的结果,不要额外解释:

{source_text}


Prompt Template for XX<=>XX Translation, excluding ZH<=>XX.


Translate the following segment into {target_language}, without additional explanation.

{source_text}


Prompt Template for terminology intervention.


参考下面的翻译:

{source_term} 翻译成 {target_term}

将以下文本翻译为{target_language},注意只需要输出翻译后的结果,不要额外解释:

{source_text}


Prompt Template for contextual translation.


{context}

参考上面的信息,把下面的文本翻译成{target_language},注意不需要翻译上文,也不要额外解释:

{source_text}


Prompt Template for formatted translation.


将以下之间的文本翻译为中文,注意只需要输出翻译后的结果,不要额外解释,原文中的标签表示标签内文本包含格式信息,需要在译文中相应的位置尽量保留该标签。输出格式为:str

{src_text_with_format}


Use with transformers

First, please install transformers, recommends v4.56.0

pip install transformers==4.56.0

!!! If you want to load fp8 model with transformers, you need to change the name”ignored_layers” in config.json to “ignore” and upgrade the compressed-tensors to compressed-tensors-0.11.0.

The following code snippet shows how to use the transformers library to load and apply the model.

we use tencent/HY-MT1.5-1.8B for example

from modelscope import AutoModelForCausalLM, AutoTokenizer

import os

model_name_or_path = “tencent/HY-MT1.5-1.8B”

tokenizer = AutoTokenizer.from_pretrained(model_name_or_path)

model = AutoModelForCausalLM.from_pretrained(model_name_or_path, device_map=“auto”) # You may want to use bfloat16 and/or move to GPU here

messages = [

{“role”: “user”, “content”: “Translate the following segment into Chinese, without additional explanation.\n\nIt’s on the house.”},

]

tokenized_chat = tokenizer.apply_chat_template(

messages,

tokenize=True,

add_generation_prompt=False,

return_tensors=“pt”

)

outputs = model.generate(tokenized_chat.to(model.device), max_new_tokens=2048)

output_text = tokenizer.decode(outputs[0])

We recommend using the following set of parameters for inference. Note that our model does not have the default system_prompt.

{

“top_k”: 20,

“top_p”: 0.6,

“repetition_penalty”: 1.05,

“temperature”: 0.7

}

Supported languages:

Languages Abbr. Chinese Names
Chinese zh 中文
English en 英语
French fr 法语
Portuguese pt 葡萄牙语
Spanish es 西班牙语
Japanese ja 日语
Turkish tr 土耳其语
Russian ru 俄语
Arabic ar 阿拉伯语
Korean ko 韩语
Thai th 泰语
Italian it 意大利语
German de 德语
Vietnamese vi 越南语
Malay ms 马来语
Indonesian id 印尼语
Filipino tl 菲律宾语
Hindi hi 印地语
Traditional Chinese zh-Hant 繁体中文
Polish pl 波兰语
Czech cs 捷克语
Dutch nl 荷兰语
Khmer km 高棉语
Burmese my 缅甸语
Persian fa 波斯语
Gujarati gu 古吉拉特语
Urdu ur 乌尔都语
Telugu te 泰卢固语
Marathi mr 马拉地语
Hebrew he 希伯来语
Bengali bn 孟加拉语
Tamil ta 泰米尔语
Ukrainian uk 乌克兰语
Tibetan bo 藏语
Kazakh kk 哈萨克语
Mongolian mn 蒙古语
Uyghur ug 维吾尔语
Cantonese yue 粤语